污水流量计
FE30H电磁热能计(冷能)测量原理基于法拉第电磁感应定律:导电液体在磁场中切割磁力线运动时,导体中产生感应电势,
感应电势为E:
E=KBVD
式中:K--------仪表常数
式中:B--------磁感应强度
式中:V--------测量管截面内的平均流速
式中:D--------测量管道截面的内径
测量流量时,导电性液体以速度V流过垂直于流量方向的磁场,导电性液体的流动感应出一个与平均流速成正比的电压,其感应电压信号通过二个或二个以上与液体直接接触的感应电极检出,并通过电缆送至转换器通过其智能化处理,实现流体瞬时流量、积累流量的显示及流量数据与控制系统之间的通讯。测量管内无活动及阻流部件,因此几乎没有压力损失,并且有很高的可靠性。
电磁热量表把电磁流量计和配对温度传感器有机地结合在一起,利用电磁流量计测量流量,结合配对温度传感器(PT1000) ,能计算、累积、存储和显示热交换回路中吸收或释放的热量。FE30H电磁热量表的流量、能量计算单元CPU及采样模块均采用ARM单片机,其内存容量大,可靠性高,热量计算能真正实现焓值计算,达到高准确度。
进口电磁热能计(冷能计)能量计量原理
FE30H电磁热量表是根据流量传感器的流量信号和配对温度传感器检测的供回水温度信号,以及水流经的时间计算并显示该系统所释放或吸收的热量。热量以量计形式显示,单位KWh,分辨力1KWh,最大显示9位。
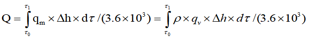
数学计算模型如下:
式中:
Q-系统释放或吸收的热量,单位为KWh;
qm-流经热量表的水的质量流量,单位为kg/h;
qv-流经热量表的水的体积流量,单位为m3/h
ρ-流经热量表的水的密度,单位为kg/m3;
△h-在热交换系统进口和出口温度下水的焓值差。单位为kJ/kg;
τ-时间,单位为h.
污水流量计的优势
电磁热能计是一种测量体积流量的仪表,测量的结果与流速分布,流量压力,温度,密度,粘度等物理参数无关
测量管内无活动部件,便于维护管理,所以传感器的使用寿命长;无阻流部件,无压力损失
被测液体电导率*低可达5μS/cm,配合各种衬里材料,可适用于测量各种酸、碱介质的流量,精 zhun度较高,通常流量精度为±0.5%
高清晰度背光LCD显示,汉英菜单操作,使用方便,操作简单,易学易懂
转换器性能可靠、精度高、功耗低、零点稳定、参数设定方便、LCD显示,可以显示累计流量、流速、流量百分比等参数
进水方向为双向均可,安装不受限制。 双向测量系统,可测量正向流量,反向流量
全数字量的处理,抗干扰能力强,测量可靠,精度高,流量测量范围可达150:1
超低EMI开关电源,使用电源电压变化范围大,抗EMC好
具有RS485数字通讯信号输出
可匹配空调采暖循环系统普遍较差的水质进行应用
可显示累计热量、累计流量、瞬时流量、流速、供水温度、回水温度等参数。
随水温的变化修正,保证在不同水温下计量准确
多级密码设置功能,防止数据被恶意修改
|
技术参数 |
|
|
公称通径(mm): |
管道式四氟衬里:DN15~DN800 |
|
管道式橡胶衬里:DN40~DN1200(特殊规格可定制) |
|
|
温差范围: |
2~75°C |
|
测温范围: |
4~95°C |
|
温度分辨率: |
0.01°C |
|
精 que度: |
0.1°C |
|
精度等级: |
1级、2级 |
|
被测介质温度: |
高温橡胶衬里:-20~+90℃ |
|
聚四氟乙稀衬里:-30~+100℃ |
|
|
高温型四氟衬里:-20~+180℃ |
|
|
额定工作压力: |
DN15-DN80:≤2.5MPa |
|
DN80-DN150:≤1.6MPa |
|
|
DN200-DN800:≤1.0MPa |
|
|
显示单位: |
m³/H、m³/M、m³/S、L/H、L/M、L/S、G/H、G/M、G/S(H=Hour M=Minute S=Second) |
|
流速范围: |
0.3-12m/s |
|
|
电导率范围: |
被测流体电导率≥5μs/cm |
|
|
电流输出: |
负载电阻 |
4~20mA:0~750KΩ |
|
供电电源: |
AC 220V&DC 24V |
|
|
消耗总功率: |
小于20W |
|
|
连接方式: |
流量计与配管之间可采用法兰、螺纹连接 |
|
|
环境湿度: |
<90%r.h(非冷凝) |
|
|
防护等级: |
IP65(特殊订制IP68) |
|
|
环境温度: |
-25~+60℃(特殊工况下请咨询工程师) |
|
|
要求直管段长度: |
上游≥5DN,下游≥3DN |
|
|
流动方向: |
正,反,净流量 |
|
|
执行标准: |
DIN EN 1092-1-2002 |
|
|
销售使用地标准(订货备注) |
|
|
|
LVD 2006/95/EC&EMC 2004/108/EC |
|
|
|
EN 61326-1::2006辐射标准(BS EN50081-1) |
|
|
|
EN 61326-1::2006抗干扰标准(BS EN50082-1) |
|
|
|
EN 61010-1:2001设备安全要求:一般要求 |
|

以下情况不予换货
1.因客户不正确操作、使用等人为因素导致商品损坏、无法使用等。
2.按客户要求定制的非质量问题商品
3.预订的非质量问题商品
4.刚刚使用没多久,不影响二次销售的仪表,如果影响二次销售,只能返厂维修(解释:这一点大可放心,因为返厂维修也会对故障进行检查,也会更换新的元器件或者整套设备重做).
温馨提示
收到货物之日起,请妥善保留您的发票
服务承诺
1.因产品质量导致商品无法正常使用,德国科威勒承诺及时为客户办理换货,以免影响客户的使用
2.德国科威勒承诺自接收到换货订单之日起,7日内处理完成(法定节假日除外),如因货期等问题需延迟的,德国科威勒会主动告知客户
3.我们的售后服务时间:周一至周五,上午8:30至下午17:30